Programing/R- programming 59

AI Performance metrics CI 구해주는 R 코드

매번 똑같은거 Metrics 구해놓고CI 다시 계산한다고 시간을 보내고 있는 나를 발견.... 그냥 블로그에 올려놓고 생각나면 편하게 와서 긁어 쓰려구 포스팅 함수 정의 library(boot)library(Epi)library(pROC)calc_metrics function(data, indices) {    d data[indices, ]    tp sum(d$predictions == 1 & d$label == 1)    tn sum(d$predictions == 0 & d$label == 0)    fp sum(d$predictions == 1 & d$label == 0)    fn sum(d$predictions == 0 & d$label == 1)        acc (tp + t..

libmysqlclient.so.20 RMySQL 에러

R에서 다음 패키지를 활용할 때, libmysqlclient.so.20 에러가 나는 경우가 있다. No LSB modules are available. Distributor ID: Ubuntu Description: Ubuntu 22.04.4 LTS Release: 22.04 Codename: jammy R 4.3.2와 Ubuntu 22.04를 활용중. 뭔가 에러가 해결하기 쉽지 않았는데, libmysqlclient.so.20 설치만으로 끝나지 않아서, 다시 삽질하지 않도록 블로그 포스팅. > library(RMySQL) Error: package or namespace load failed for ‘RMySQL’ in dyn.load(file, DLLpath = DLLpath, ...): unable ..

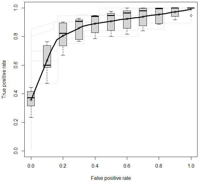
R - Cross-validation 평균 ROC 그리기

Split validation이나, Leave-One-Out Cross-validation (LOOCV) 를 하게 되면 적절하게 ROC curve를 그릴 수 있다. Split validation은 test set이 명확하게 있으니, 해당 샘플에 대해 ROC curve를 그리면 되고, LOOCV의 경우 데이터 하나당 Prediction 값을 저장해놓고 ROC curve를 그리면 된다. 그러면 Cross-validation은?? AUC 구하는거야, MRMC 기법이든 뭐든, 어쨌건 결과 값이 각 fold 별 AUC의 평균과 동일하기에 계산하면 되는데 ROC가 항상 문제이다. Multiple ROC curve에 대한 평균을 구하는 방식으로, Cross-validation의 mean ROC를 시각화 할 수 있는데..

몬티홀 딜레마, R 프로그래밍 솔루션

Suppose you’re on a game show, and you’re given the choice of three doors. Behind one door is a car, behind the others, goats. You pick a door, say #1, and the host, who knows what’s behind the doors, opens another door, say #3, which has a goat. He says to you, "Do you want to pick door #2?" Is it to your advantage to switch your choice of doors? 당신이 한 게임 쇼에 참여하여 세 문들 중 하나를 고를 기회를 가졌다고 생각해봐라. 한..

RMySQL: Can't connect to local MySQL server through socket '/tmp/mysql.sock' 에러

library(RMySQL) > dbConnect( MySQL() ) Error in .local(drv, ...) : Failed to connect to database: Error: Can't connect to local MySQL server through socket '/tmp/mysql.sock' (2) > tmp/mysql.sock을 통해 MySQL로 접근할 수 없다고 에러가 뜬다. # Ubuntu $ cat /etc/lsb-release DISTRIB_ID=Ubuntu DISTRIB_RELEASE=18.04 DISTRIB_CODENAME=bionic DISTRIB_DESCRIPTION="Ubuntu 18.04.1 LTS" # MariaDB $ mysql --version mysql Ver..

Lasso, Ridge regularization - 회귀에서 selection과 shrinkage

Ridge regression과 Lasso regression은 선형회귀 기법에서 사용되는 Regularization이다. 그럼 Regularization은 무엇인가? 를 이해하기 위해, Bias와 Variance, 그리고 Overfitting부터 이해하도록 한다. 1. Bias vs Variance 1) Bias and Variance in Linear model Bias는 학습된 모델이 Training data에 대해 만들어낸 예측값과, Training data값과의 Error를 말한다.Variance는 학습된 모델이 Test data에 대한 예측값과, 정답과의 Error를 말한다. 따라서 위와같이 선형함수의 경우, Training data를 완벽하게 맞추지 못하며 Bias가 어느정도 있다는 것을 알..

R system command 127 에러

> for(i in 1:length(commands)) system(commands[i])50건 이상의 경고들을 발견되었습니다 (이들 중 처음 50건을 확인하기 위해서는 warnings()를 이용하시길 바랍니다).> > warnings()경고 메시지:1: 명령 'move ISIC_0024310.jpg ../'의 실행으로 상태 127가 되었습니다2: 명령 'move ISIC_0024315.jpg ../'의 실행으로 상태 127가 되었습니다..... 이거 왜이러나 했더니,command에 "cmd.exe /c" 를 앞쪽에 넣어줘야함. movefiles